Page 2 sur 10
Re: Topographie et Guidages
Posté : mer. mai 27, 2020 8:29 pm
par Adri3528
Topographie et Guidage #3
4)
Équerre optique :
a)
Principe :
Il existe plusieurs sortes d’équerre optique, avec 2, 3 ou 4 fenêtres. À chaque fois il y a 2 prismes qui renvoient une image perpendiculaire à droite et à gauche et 1 ou 2 autres fenêtres qui renvoient une image de face. L’équerre optique est couplée, soit, a un fil à plomb ou une canne plombée pour pointer le point au sol.

- Principe de réflexion de l'image
- Prisme équerre optique.jpg (160.5 Kio) Vu 7692 fois

- Ce que l'on peut voir à travers l'équerre
- equerre optique.jpg (217 Kio) Vu 7692 fois
Re: Topographie et Guidages
Posté : mer. mai 27, 2020 8:33 pm
par Adri3528
Topographie et Guidage #3
b)
Utilisation :
L’équerre optique est un outil très simple mais aussi très polyvalent.

- On peut s’en servir pour aligner un point entre deux points connus, lorsque les deux jalons sont alignés dans les prismes du milieu, on sait que notre position est alignée aux deux jalons.
- Alignement.jpg (64.11 Kio) Vu 7691 fois

- On peut créer un point perpendiculaire par rapport à deux autres points connus.
- Perpendicualire par rapport à une ligne.jpg (87.8 Kio) Vu 7691 fois

- On peut créer une perpendiculaire à partir de 3 points connus, quand tous les jalons sont alignés notre point est aligné et perpendiculaire aux 3 points connus.
- Perpendiculaire par rapport à 3 points.jpg (58.73 Kio) Vu 7691 fois

- On peut aussi s’en servir, aussi, pour implanter une courbe dont deux points de diamètre sont connus. Tous les points ou l’on voit un angle droit appartient à la courbe.
- Courbe.jpg (40.27 Kio) Vu 7691 fois
Re: Topographie et Guidages
Posté : mer. mai 27, 2020 8:35 pm
par Adri3528
Topographie et guidage #3
c)
Autre utilisation :

- On peut déterminer les coordonnées rectangulaires de plusieurs points à partir de deux autres points connus. En déterminant la perpendiculaire de chaque points puis en mesurant la longueur par rapport au point de départ (Gauche) et la longueur de la perpendiculaire on obtient les coordonnées X et Y du point.
- Surface.jpg (73.99 Kio) Vu 7690 fois

- En tenant l’équerre optique horizontalement, on peut déterminer approximativement une lecture sur une mire, en voyant le fil à plomb dans un des prismes, sa pointe permet une lecture.
- Nivellement.jpg (66.12 Kio) Vu 7690 fois
Re: Topographie et Guidages
Posté : mer. mai 27, 2020 8:39 pm
par Adri3528
Topographie et Guidage #3
5)
Équerre de raccordement :
a)
Principe :
Il s’agit d’une équerre optique dont les prismes sont remplacés par des miroirs et dont on peut faire varier l’angle entre les deux miroirs. Elle permet d’implanter tous les points d’un arc de cercle entre deux alignements connus.

- Équerre de raccordement.jpg (6.58 Kio) Vu 7689 fois
b)
Utilisation :

- Raccordement.jpg (14.55 Kio) Vu 7689 fois
Si l’on a deux alignements droits AB et CD et que T est un point de AB et T’ est un point de CD et que l’on doit raccorder ces deux alignements par un arc de cercle de rayon constant, on peut utiliser l’équerre de raccordement.
T et T’ sont les points de départ et d’arrivée de l’arc de cercle, les points A et T’ sont matérialisé par des jalons sur le terrain. En se plaçant d’aplomb, sur le point T, on oriente l’équerre de façon à voir le jalon A dans un des miroirs et on tourne l’autre miroir pour voir le jalon du point T’. Quand les deux images des jalons coïncident on a l’angle α.
Pour tracer l’arc il suffit de se déplacer sur l’arc avec l’équerre, et quand on retrouve les deux images qui coïncident on sait que l’on est exactement sur un point de l’arc.
Re: Topographie et Guidages
Posté : mer. mai 27, 2020 8:59 pm
par Adri3528
Topographie et Guidage #3
6)
Coordonnées Rectangulaires :
Les coordonnées rectangulaires définissent les coordonnées X et Y d’un point par rapport à un système de coordonnées normés (Lambert, CC, …) ou un repère local. Elles servent pour l'implantation à l'équerre optique.

- Coordonnées rectangulaires.jpg (97.58 Kio) Vu 7684 fois
Le point A est défini par ses coordonnées (XA et YA) et le point B par (XB et YB).
7)
Coordonnées Polaires :
Les coordonnées polaires sont définies pas une distance (d) et un gisement (Gis). Un gisement est un angle orienté, dans le sens topographique (sens des aiguilles d’une montre), entre l’axe des Y, aussi appelé Nord (N), et une droite AB. Le 0 correspond à l’axe des Y. Elles servent à l'implantation au théodolite.

- Coordonnées Polaires.jpg (69.58 Kio) Vu 7684 fois
8)
Transformation des coordonnées polaires en rectangulaires :

- Polaire Rectangulaires.png (366.48 Kio) Vu 7684 fois
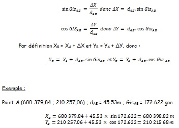
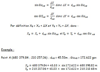
Si et seulement si l’on connait les coordonnées du point A (XA et YA), la distance entre A et B dAB et le gisement entre A et B Gis AB, on peut alors connaitre les coordonnées polaires du point B.
Avec les propriétés du triangle rectangle on peut déduire que :

- Démonstration Polaires rectangulaires.jpg (26.07 Kio) Vu 7684 fois
Cette transformation est utilisée dans le cas d’un levé au théodolite pour connaitre les coordonnées X et Y des points levés.
Re: Topographie et Guidages
Posté : mer. mai 27, 2020 9:03 pm
par Adri3528
Topographie et guidage #3
9)
Transformation des coordonnées rectangulaires en polaires :

- Rectangulaires Polaires.jpg (54.33 Kio) Vu 7682 fois
Si l’on connait les coordonnées rectangulaires des points A et B, on sait, avec les propriétés du triangle rectangle :

- Rectangulaires Polaires (2).jpg (6.52 Kio) Vu 7682 fois
Le calcul du Gisement se fait par rapport au signe de ΔX et ΔY :

- Quadrant.jpg (86.51 Kio) Vu 7682 fois
Les coordonnées polaires servent pour l’implantation de plusieurs points au théodolite.
Exemple :

- Polaires.jpg (183.2 Kio) Vu 7682 fois
Re: Topographie et Guidages
Posté : mer. mai 27, 2020 9:07 pm
par Adri3528
Topographie et Guidage #3
10)
Polygonales :
a)
Définition :
Une polygonale peut-être fermée, encadrée ou rayonnée comme un nivellement. C’est une droite brisé à plusieurs points dont on connait la distances entres les points et leur gisements, on peut donc en déduire les coordonnées de tous les points sur cette droites. Elles sont implantés par des géomètres-experts et servent aussi de base pour implanter les projets qui se trouvent auprès d’elles.
b)
Prise de mesure :

- Polygonales.jpg (156.14 Kio) Vu 7681 fois
Pour calculer les coordonnées des points d’une polygonale on doit mesurer les distances et les angles entre chaque points et savoir. Le point de départ doit etre orienté par rapport au Nord.

- Angles Topo.jpg (172.04 Kio) Vu 7681 fois
Pour connaitre les gisements, on peut soit mesurer les angles topographique de gauche (Tg), en ayant choisis un sens de parcours ou alors on mesure les angles intérieurs (A.I). L’angle topographique est l’angle qui se trouve à gauche de la polygonale par rapport au sens de parcours.
Quand on a mesuré tous les angles on peut en déduire les gisements. Avec les angles topographiques de gauche on a GisBC = GisAB + 200 + TgB et avec les angles intérieurs on a GisBC = GisAB + 200 – Angle B.
c)
Calcul de la polygonale :

- Calcul polygo.jpg (209.12 Kio) Vu 7681 fois
On connaissant les formules vue plus haut, il est facile de calculer les coordonnées rectangulaires des différents points. Les coordonnées se calcul un peu à la manière d’un nivellement. Le gisement se calcul comme vu au-dessus, ΔX = d x Sin Gis et ΔY = d x Cos Gis. La compensation se fait au prorata des distances entre points par rapport à la longueur totale de la polygonale.
d)
Calcul de la surface d’une polygonale fermée :

- Calcul de surface.jpg (192.02 Kio) Vu 7681 fois
Pour calculer la surface d’une polygonale fermée, on projette la polygonale sur le repère (système de coordonnées) pour calculer la surface du polygone vert et du polygone noir, en faisant la différence de la surface verte – la noire on obtient la surface de la polygonale.
Par définition :

- Calcul de surface (3).jpg (15.47 Kio) Vu 7681 fois
Re: Topographie et Guidages
Posté : jeu. mai 28, 2020 7:47 pm
par Obelix
Sujet très intéressant
Nous les anciens on étais vieux jeux mais aujourd'hui il fait avouer que tous ces outil s
Sont indispensables vue les donneur d ordre les comptesrendue de chantier bon bref moi je sais pas faire sortie des niveulettes et du bon vieux laser bon courage !!
Un

Re: Topographie et Guidages
Posté : dim. juin 07, 2020 6:09 pm
par Adri3528
Topographie et Guidage #4
IV)
Théodolites et stations totales :
1)
Histoire :
Le théodolite est un instrument topographique qui sert à mesurer des angles horizontaux et verticaux. Il a été inventé à la fin du XVI ème siècle par Thomas DIGGES.
2)
Principe :
Le théodolite est composé d’une lunette avec un système de mise au point, qui peut effectuer une rotation sur un axe horizontal et un autre axe verticale.

- Schématisation du théodolite
- Principe Théodolite.png (77.83 Kio) Vu 7613 fois
Il est mis de niveau au-dessus d’un point connu, l’axe vertical doit être exactement de niveau au-dessus du point, on peut se servir d’un fil à plomb ou d’un plomb optique pour savoir si l’on est bien au-dessus du point, aujourd’hui les théodolites sont équipé de plomb laser, il est équipé d’une nivelle sphérique et d’une nivelle torique. Il possède deux cercles gradués pour mesurer les angles. Le cercle verticale à pour 0 le zénith du cercle vertical, donc quand la lunette est à l’horizontale l’angle vaut 100 ou 300 gon. Le cercle horizontal n’a pas de 0 à proprement dit, le 0 correspond au Nord du système de coordonnés, il peut donc être mis à 0 manuellement. Le théodolite sert à mesuré les angles d’un triangle horizontal ou vertical. Pour implanter un point, il faut être deux opérateurs et connaitre le gisement et la distance entre le point de station et le point à implanter.

- Nivelle sphérique
- nivelle sphérique.jpg (6.6 Kio) Vu 7613 fois

- Nivelle torique
- nivelle torique.jpg (5.52 Kio) Vu 7613 fois

- Premier théodolite
- premier théodolite.jpg (82.12 Kio) Vu 7613 fois
Re: Topographie et Guidages
Posté : dim. juin 07, 2020 6:15 pm
par Adri3528